一、转让人基本情况
转让人名称:山西昔阳丰汇煤业有限责任公司
法定代表人:冯胜利
地 址:晋中市昔阳县大寨镇麻汇村
二、探矿权基本情况
勘查项目名称:山西省左权西区块煤层气勘查
证号:T1400002020091020055979
发证机关:山西省自然资源厅
地理位置:山西省左权县、和顺县、榆社县
矿区面积:197平方千米
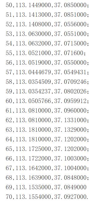
矿区范围(经纬度):



三、受让人基本情况
受让人名称:山西晋祥煤成气股份有限公司
法定代表人:黄祥苗
地 址:太原市万柏林区长风西街1号丽华大厦A座12层
四、转让方式
转让方式:合作经营方式
五、公示时间及提出异议方式
公示时间:2026年1月28日至2026年2月9日。
公示期内有异议的,请以书面材料形式送达山西省政务服务中心综合窗口。
联系电话:0351-7731456
山西省自然资源厅
2026年1月28日
切换行业






正在加载...



